mn
en
ЧУХАЛ ХОЛБООСУУД6
Бидний тухай
Түүхэн замнал
Алба, нэгж
Захиргаа, аж ахуйн алба
Санхүү, эдийн засгийн алба
Үйлдвэрлэл технологийн алба
Инженер техникийн алба
Мэндчилгээ
Мэдээ, мэдээлэл
Мэдлэгийн сан
Бүтээгдэхүүн
төсөв санхүү
Холбоо барих
Чухал холбоосууд7
Засгийн газрын Хэрэг эрхлэх газар
Үндэсний хөгжлийн газар
Харилцаа холбоо, мэдээллийн технологийн газар
Share
Twitt
Share
Ангилал:
· Огноо:
2025-11-18 11:56
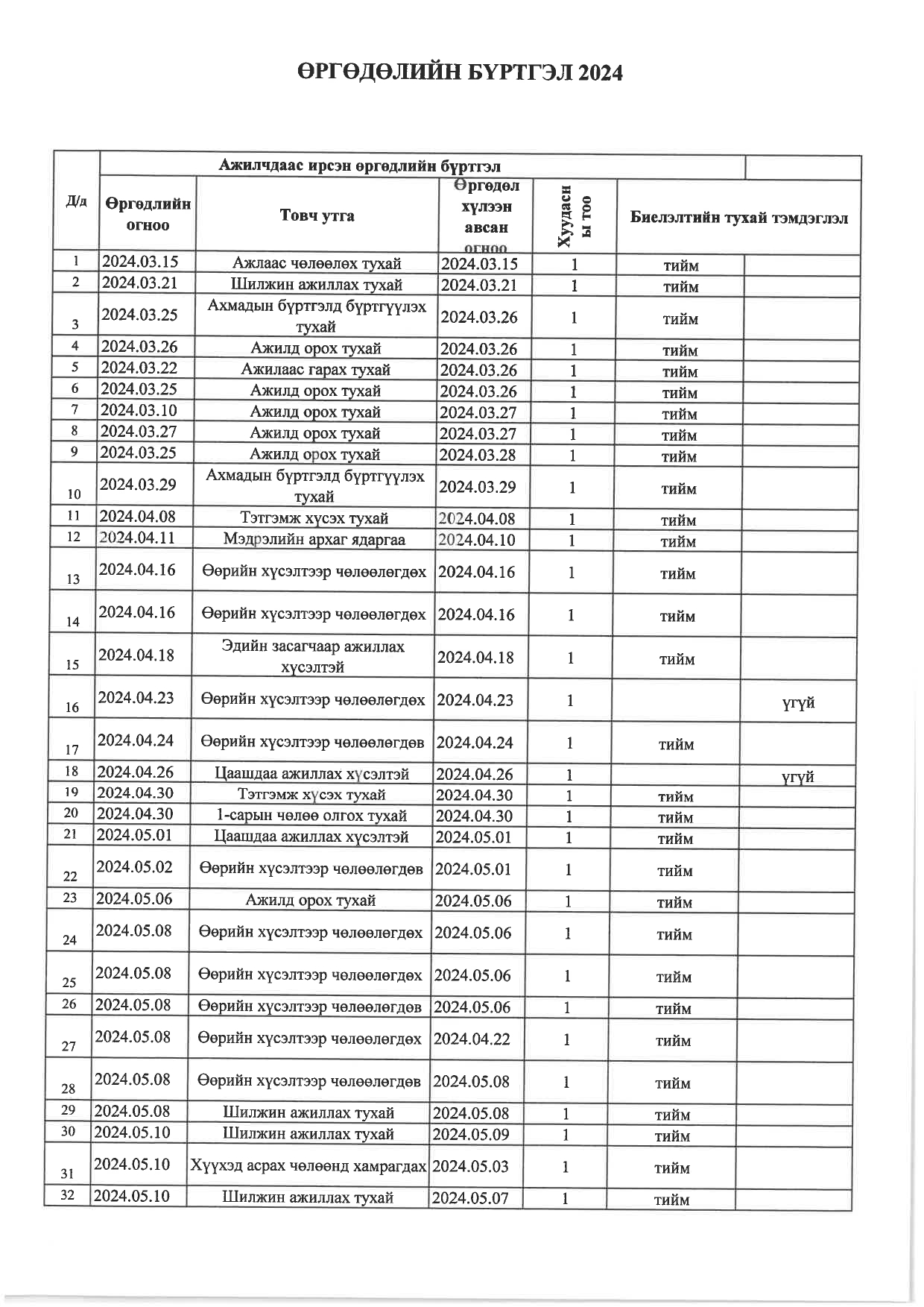
Өргөдөлийн бүртгэл 2024